1. 서 론
2. 지반함몰 특성
2.1 발생 원인
2.2 지하수위 영향
2.3 상대밀도 영향
3. 함몰 유형 분류
3.4 블리딩 실험
3.1 연속 침하-a 유형
3.2 연속 침하-b 유형
4. 개별요소법
4.1 해석 조건
4.2 해석 모델
4.3 함몰거동 비교분석
5. 수치해석 결과
5.1 연속 침하-a 유형
5.2 연속 침하-b 유형
6. 결 론
1. 서 론
서울시(2016)의 지반함몰 관리 종합대책 보도자료에 따르면 도심 지하공간의 활용 증가와 함께 지반함몰이 빈번하게 발생하는데 연 평균 677건 정도로 나타났다. 지반함몰은 지하 매설관 손상이나 인근지역 굴착공사로 인한 토사유실로 인해 동공이 형성되고 외부 조건에 의하여 동공이 확장 및 붕괴되는 과정으로 발생한다. 이러한 지반함몰은 지반의 상태와 지하수의 흐름 특성과 같은 영향인자들에 따라 전개 거동이 매우 다양함을 기존의 실내시험을 통한 연구들에서 확인하였다(Sreng et al., 2003; Kuwano et al., 2012; Kweon et al., 2016; Jeong et al., 2016). 하지만 함몰의 전개 거동을 확인하고 유형을 분류함에 있어 발생 원인과 영향인자 분석을 통한 접근이 아닌 지반 재료의 연속적인 유실 여부에 따른 분류가 보다 합리적이다(Kim and Park, 2017). 연속적인 유실로 발생하는 함몰은 지반의 포화상태에 따라 전개거동 유형과 발생속도의 차이가 존재하기 때문에 지반함몰에 미치는 위험도가 변화하므로(Jeong et al., 2017), 연속 침하 유형의 함몰 거동은 지반의 포화상태에 따라 세부적인 유형 분류가 추가적으로 수행되어야 한다. 또한 함몰 영향인자 중 지반 재료의 상대밀도는 동공의 확장과 형성에 큰 영향을 보이는 것으로 알려져 있다(Jeong et al., 2016; Sreng et al., 2003).
본 연구에서는 함몰발생 사례와 영향인자 분석 결과를 토대로 선행연구로 입자의 유실 여부를 통해 분류된 함몰 유형 중 연속 침하 함몰 유형에 대해서 지반의 포화상태에 따라 두가지로 세분하여 개별요소법기반의 수치해석을 수행하였다. 또한 상대밀도의 영향을 확인 하기 위해, 각각의 포화상태에서 상대밀도 차이를 둔 모델을 생성하여 함몰 전개 과정을 비교하였으며 미시적인 관점에서의 입자 유실과 함몰 전개 거동 사이의 연관성을 분석하였다.
2. 지반함몰 특성
2.1 발생 원인
서울시에서 발생한 지반함몰 원인은 도로하부 하수관 손상, 도로상 굴착 복구 후 장기침하, 상수관 손상, 그리고 인접지역 굴착공사에 의한 것으로 밝혀졌다. 이 중 Fig. 1과 같이 하수관 손상으로 인한 함몰이 53%, 굴착복구 장기침하에 의한 함몰이 25%로 가장 빈번하게 발생하였다(Seoul city, 2016). 이는 지속적인 물의 유입으로 지하수위가 높게 형성되어 지반이 전체적으로 포화됨에 따라 토사 유출이 증가하는 것으로 판단되기에 함몰 규모와 속도는 지하수위와 밀접한 관련이 있다.
2.2 지하수위 영향
동공의 확장 특성은 지반 내 물의 흐름과 밀접한 연관이 있으며, 지하수위가 높게 형성된 지반일수록 함몰 발생 속도와 규모가 증가하는 현상을 보였다(Sreng et al., 2003; Kuwano et al., 2012; Kweon et al., 2016; Jeong et al., 2016; Jeong et al., 2017). 완전히 포화된 지반은 입자 유실에 따라 트러프(trough)형태의 즉각적인 침하가 발생하지만 부분포화상태의 지반은 즉각적인 함몰이 발생하지 않고 동공을 형성하게 된다(Jeong et al., 2017). 이는 불포화 상태의 지반에서 작용하는 겉보기 점착력(이하 점착력)에 의한 현상으로 흙 입자간 인장력이 발생하여 지반이 즉각적으로 붕괴되지 않은 것으로 판단된다.
2.3 상대밀도 영향
지반의 상대밀도는 지반함몰에 영향을 미치는 인자로 작용할 수 있는데 일반적으로 상대밀도가 작은 느슨한 지반일수록 지표 침하와 영향범위가 크게 발생하며 함몰로 이어지는 시간이 짧다. 상대밀도에 따른 입자 유실 시 함몰 거동을 나타내며 상대밀도 30%의 모래지반에서는 비교적 짧은 시간 내에 입자 유실과 함께 표면에서 트러프 형태의 침하를 보였으나 상대밀도 80%의 경우 지반 내 동공을 형성하고 확장되며 함몰이 발생하는 결과를 보였다(Jeong et al., 2016). Sreng et al.(2003)은 반복침투 시험을 통해 상대밀도에 따른 모래의 함몰 거동을 확인하였다. 그 결과, 상대적으로 조밀한 지반의 경우 입자간의 접촉이 증가함에 따라 맞물림 효과가 크게 발생하는 반면 느슨한 지반은 입자간 접촉과 맞물림 효과가 작아 적은 양의 물의 침투에도 입자 유실이 빠르게 발생하였다.
3. 함몰 유형 분류
2016년 서울시에서 조사한 함몰 원인 중 굴착공사 시 또는 하수관 손상으로 인한 함몰은 유출구가 존재하기 때문에 유출구를 통한 토사의 연속적인 유실이 발생할 수 있으며 이를 <연속침하>유형으로 분류하였다. 이러한 토사의 연속적인 유실에 의해 발생하는 지반함몰은 영향인자와 발생원인에 따라 그 거동이 다르기 때문에 유형분류를 통한 위험도평가가 수행되어야 할 것으로 판단된다. 함몰 발생원인과 영향인자를 분석한 결과, 함몰 거동은 지반의 포화상태에 따라 다르게 발생하기에 토사 유실에 의한 연속 침하 함몰 유형을 다시 Fig. 2와 같이 각각 a와 b로 분류하였다. 이 중 굴착공사 시 초기 높은 지하수위로 인해 전체적으로 지반이 포화 되었을 경우를 <연속침하-a>과 같이 거동한다고 판단하였으며 하수관 주변부의 지반이 누수로 인해 국부적으로 지반이 포화되고 이로 인해 토사가 하수관 손상부로 유실되는 경우를 <연속침하-b>과 같이 거동한다고 판단하였다.
3.1 연속 침하-a 유형
<연속침하-a>와 같이 굴착공사 시 초기 높은 지하수위로 인해 전체적으로 지반이 포화 되었을 경우, 입자간 점착력의 부재로 토사 유실과 함께 즉각적인 지표 침하가 발생한다. 도로 포장층 하부에서의 지표 침하는 Fig. 3과 같은 동공을 형성할 수 있으며 직접적으로 도로함몰과 연결될 수 있기에 위험도가 크다. 결과적으로 <연속침하-a>는 토사 유실만으로 동공이 발생하며 동공이 포장층 하부에 위치하면서 연속적인 토사의 유출과 함께 점차 확장되기 때문에 큰 규모의 함몰로 진전된다.
3.2 연속 침하-b 유형
<연속침하-b>와 같이 입자간 점착력이 존재하는 불포화상태 지반에서 지반이 국부적으로 포화됨에 따라 토사유실이 발생할 경우 전혀 다른 함몰거동이 나타난다. <연속침하-a> 유형과 다르게 Fig. 4처럼 지표면에서 즉각적인 침하가 발생하지 않고 도로 하부지반에서 동공이 형성된다. 이는 불포화 모래지반에서 작용하는 점착력에 의해 토사 자체의 전단강도가 증가하여 동공 상부를 지지하기 때문이다(Kweon et al., 2016). <연속침하-b> 유형은 주로 하수관 손상부로 토사가 유실되는 경우에 발생하며 토사 유실로 인한 즉각적인 함몰은 발생하지 않지만 동공 형성 이후 물의 침투 또는 상부하중 등과 같은 외부 요인들이 복합적으로 작용함에 따라 동공이 무너지면서 확장되기 때문에 함몰로 이어질 수 있는 잠재적인 위험을 갖는다.
4. 개별요소법
개별요소법(Distinct Element Method)은 기본적으로 입자와 벽으로 구성되며 입자의 집합체로 구성되는 모델의 역학적 거동을 평가하는데 활용된다. 본 연구에선 연속적인 입자 유실을 확인하고 이에 따른 함몰 전개 거동을 모사하기 위해 개별요소법 기반의 수치해석 프로그램인 PFC2D를 사용하였다.
4.1 해석 조건
3차원 조건에선 부피를 바탕으로 지반재료의 밀도를 계산하지만, 2차원 조건에서는 입자의 면적을 기반으로 밀도를 계산하기에 두 값의 큰 차이가 발생한다. 따라서 2차원 해석 내에서 구성재료들의 밀도를 고려하기 위한 적절한 보정 방법이 필요하며, 지반재료의 조밀하고 느슨함을 직관적으로 확인하기위해 해석대상재료에 상대밀도개념을 적용하였다(Wang et al., 2014).
2차원 조건에서 실제 밀도를 구현하기 위해 Hainbüchner et al.(2002)은 동일한 입경을 가지는 입상체의 최대 및 최소간극비를 이론적으로 계산하여 획득하여 상대밀도를 적용하였다. 반면에, Delyzarche et al.(2003)은 입자간의 마찰이 존재하는 재료를 자유 낙하시켜 일정 영역에 위치하는 입자들을 바탕으로 최대 간극비를 획득하였고, 최소 간극비는 일정 크기의 구속압이 작용하는 상태에서 마찰계수를 연속적으로 변화시키면서 재료를 압축시켜 획득하였다. 그러나 실제 대상 지반재료의 입자의 형상 및 입도 분포에 따른 간극의 크기 및 형상의 변화를 고려하지 않았으며 해석 방식 또한 기존의 실내시험과 상이하다. 따라서, 본 연구에서는 함몰 거동 해석과 동일한 입자 형상과 Fig. 8의 입도분포를 가지는 재료에 대해서 2차원 해석에 대해 각각 표준시험법인 ASTM D4253과 D4254를 바탕으로 최대 및 최소간극비 시험을 모델링하여 그 값을 획득하였다.
최대 간극비 시험은 선행 연구와 동일하게 마찰이 존재하는 재료를 자유낙하 시킴으로써 그 값을 획득하였으며 최소간극비는 Fig. 6(b)와 같이 호퍼(hopper)를 통하여 보다 균질하게 입자를 낙하시킴과 동시에 경계면을 실제 시험과 동일한 50Hz의 주기를 가지는 진동대(vibratory table)로 모사함으로써 그 값들을 획득하였다. 2차원 조건에서 획득한 최대 및 최소간극비를 바탕으로, 식 (1)과 같은 조건이 적용된다는 현상학적 접근법으로 상대밀도를 획득하였다.
(1)
여기서, emax(field) : 흙이 가장 느슨한 상태일 때의 실제 간극비
emin(field) : 흙이 가장 조밀한 상태일 때의 실제 간극비
emax(DEM) : 재료가 가장 느슨한 상태일 때의 해석 내 간극비
emin(DEM) : 재료가 가장 조밀한 상태일 때의 해석 내 간극비
e(field) : 흙의 실제 간극비
e(DEM) : 재료의 해석 내 간극비
재료의 포화 또는 불포화상태를 입자 간의 점착력 유무를 바탕으로 구분하고 이를 해석 내에서 구현하기 위해 선형-접촉 결합 모델을 사용하였다. 이 모델은 입자 간의 접촉에서 발생하는 인장력이 입력된 최대 점착력 이하인 경우까지 저항하며 접촉면적이 점으로 계산되기 때문에 회전에 대해서는 저항하지 못한다. 선형-접촉 결합 모델의 기본적인 체계는 Fig. 7과 같다.
입력된 최대 점착력값은 모사하고자 실내 토조시험과 수치해석간의 현상학적 거동 비교를 통해 가장 유사할 때의 값인 10N의 인장강도와 전단강도 값을 각각 대체 입력하였다. 이외의 접촉 모델에 대한 매개변수들은 기존의 Kim and Park(2017)에 의해 수행된 수치해석에서 적용한 값을 기반으로 토조시험과의 현상학적 거동 비교를 통해 그 값을 보정하여 최종적으로 Table 1과 같은 새로운 값을 획득하였다.
Table 1. Applied parameters of simulation models
| Density (kg/m3) | 2650 |
| Normal stiffness (N/m) | 5e7 |
| Shear stiffness (N/m) | 5e7 |
| Friction coefficient | 0.5 |
| Gravity (m/s2) | 9.81 |
4.2 해석 모델
연속침하 유형의 함몰 과정을 모사하기 위해, Fig. 8과 같이 폭 30mm, 높이 15mm, 유출구 크기는 폭의 1/10인 3mm의 토조 모델을 생성하였다. <연속침하-a>는 모델 내 입자간 점착력을 입력해 주지 않음으로써 포화 지반을 구현하였고 <연속침하-b>는 입자간 최대 점착력을 입력해 주어 불포화 모래지반을 고려하였다. 해석과정으로 초기 지하수위를 모델 높이의 1/10인 1.5mm로 설정하였으며 입자 유실이 더 이상 진행되지 않는 시점에서 지하수위를 1.5mm씩 단계적으로 증가시켜 동공의 확장과 붕괴 거동을 관찰하였다. 또한 두가지 함몰 유형에 대하여 각각 조밀하고 느슨한 모델을 생성하여 지반의 상대밀도와 함몰 거동 간의 관계 또한 관찰하였다.
4.3 함몰거동 비교분석
생성된 해석 모델의 실제 현상 반영 여부를 판단하기 위해 함몰 유형별 수치해석 결과와 실내 토조시험 결과의 현상학적인 비교를 수행하였다. Fig. 9는 완전 포화 또는 건조 상태 모래의 유출 시험결과로 입자 유실에 따라 지반이 이완되며 지표면에서 즉각적인 침하가 발생하였다. Fig. 10은 포화된 지반조건을 모사한 <연속침하-a>유형의 수치해석 결과이며 입자 유실과 함께 지표면에서 토조시험과 유사한 트러프 형태의 함몰이 발생하였다.
Fig. 11은 불포화지반 조건에서 수행된 시험 결과로 지하수 상승에 따라 동공의 확장과 상향 이동 과정을 반복하며 최종적으로 붕괴에 이르는 거동을 보였다. Fig. 14는 불포화 지반을 모사한 <연속침하-b>유형의 수치해석 결과이며, 초기 형성된 동공이 지하수위 상승에 따라 확장되며 6mm 지하수위 조건에서 붕괴가 발생하였다.결과적으로 지반의 포화 상태에 따라 생성된 연속침하 유형의 수치해석 모델은 실내 토조시험의 동공의 전개 거동과 함몰로 이어지는 과정을 현상학적으로 모사할 수 있었으며 따라서 개별요소법 수치해석을 활용한 함몰 시뮬레이션을 통해 실제 발생하는 함몰 현상을 모사할 수 있을 것으로 판단된다.
5. 수치해석 결과
5.1 연속 침하-a 유형
지표면이 침하하며 붕괴되는 거동을 보이는 <연속침하-a> 유형은 함몰이 진행되며 즉각적인 지표의 침하가 발생하기 때문에 함몰 위험도 지표로 활용될 수 있는 침하량과 침하의 영향범위를 지반 조건에 따라 분석하여 비교하였다.
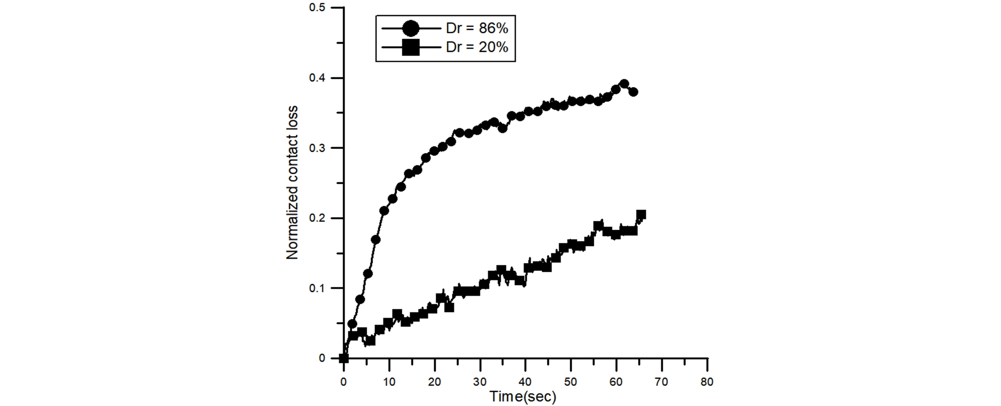
Fig. 13은 입자 유실이 시점으로부터 동일한 시간이 지난 후의 함몰거동을 비교한 그림으로, 상대밀도 20%의 느슨한 지반에선 86%의 조밀한 지반에 비해 약 2.31배 넓은 침하 영향범위를 보이고 있다. 따라서 지반의 상대밀도 차이는 입자 유실에 의한 지반의 이완범위에 영향을 미치므로 <연속침하-a> 유형에 의해 발생하는 동공의 크기와 직접적인 연관이 있을 것으로 판단된다.
Fig. 14는 입자 유실이 발생한 이후 시간의 흐름에 따른 지표면의 침하량을 나타낸다. 느슨한 지반의 경우 입자 유실 발생과 함께 즉각적인 지표 침하가 발생하였으나 조밀한 지반은 즉각적인 침하는 관찰되지 않았으며 입자 유실이 발생한 시점에서 약 15초 이후에 지표 침하가 발생하였다. 조밀한 지반에서 지표 침하가 발생하는 시점과 개별요소의 특성 관계를 미시적인 관점에서 분석하기 위해 접촉력 분포를 활용하여 입자 1개당 작용하는 접촉점 개수를 관찰하였다. Fig. 15는 상대밀도에 따른 접촉점 개수를 초기 개수로 정규화하여 나타낸 그림으로 조밀한 지반에서는 입자 손실 시점으로부터 약 15초 동안 급격한 접촉점 감소가 발생하였으며 그 이후 느슨한 지반과 비슷한 기울기로 접촉점 감소가 발생하는 현상을 보였다. 입자간 접촉점 감소는 지반의 이완을 나타내므로 지표 침하는 지반이 충분히 이완된 이후에 발생한다고 볼 수 있다. 결과적으로 침하 영향범위와 침하량을 지표로 한 함몰 위험도는 입자간 접촉이 크게 발생하는 조밀한 지반에서는 함몰 위험도가 낮으나 입자 유실로 인해 충분한 지반이완이 발생할 경우 느슨한 지반과 유사한 위험도를 갖을 것으로 판단된다.
5.2 연속 침하-b 유형
불포화지반을 고려한 <연속침하-b> 유형의 해석결과는 Fig. 16과 같이 상대밀도에 따라 표면에서 붕괴가 관찰되는 시점의 접촉 분포와 지하수위 상태를 나타낸다. 느슨한 지반인 경우, 하부 경계면에서 1.5mm 영역까지 포화된 지하수위 상태에서 입자 유실과 함께 즉각적인 함몰이 발생하였다. 반면에 조밀한 지반인 경우, 동일한 지하수위 조건에서 입자 유실과 함께 지반 내에 동공을 형성하였으며 이후 지하수위를 상승시킴에 따라 동공이 지표면으로 확장되고 최종적으로 6mm영역까지 지하수위가 도달하였을 경우에 함몰이 발생하였다.
이러한 상대밀도에 따른 함몰 거동의 차이는 입자 유실에 따른 입자 간의 접촉 양상 변화로 인해 점착력 분포 양상 또한 달라졌기 때문에 발생한다. Fig. 17(a), 18(a)와 같이 초기 해석 모델의 접촉력 분포를 확인해보면, 밀도에 따른 접촉 개수의 차이는 발생하지만 두 경우 모두 접촉력은 중력방향으로 집중되어 있으며 점착력으로 인해 발생하는 인장력 분포가 지반 전체에 고르게 분포하고 있는 것을 확인할 수 있다.
하지만 입자 유실 과정에서 조밀한 지반의 경우 Fig. 17(b)와 같이 입자 유실이 발생함에도 즉각적인 붕괴가 발생하지 않고 지반내 형성된 동공 상부에 점착력이 집중적으로 분포하는 양상을 보였다. 반면 느슨한 지반의 경우 Fig. 18(b)와 같이 토사의 유실에 따라 동공을 형성하지 못하고 동공 상부보다는 전체 지반에 점착력이 분포하는 양상을 보였다. 이러한 불포화 지반의 상대밀도에 따른 점착력의 분포 양상 변화는 입자간의 맞물림에 의한 것으로 판단되며 입자간의 맞물림 효과가 큰 조밀한 지반인 경우에 비교적 높은 지하수위까지 동공이 유지되는 것을 확인할 수 있다. 따라서 불포화 지반에서 지반의 상대밀도 차이에 의해 발생하는 입자간의 맞물림 효과는 점착력 분포 양상을 통해 확인할 수 있으며 이는 함몰 거동 변화에 중요 영향인자인 것으로 판단된다.
6. 결 론
본 연구에서는 개별요소법 수치해석과 미시적이고 현상학적인 비교를 통하여 지반의 포화상태에 따라 <연속침하-a>와 <연속침하-b>로 분류하였으며 각 유형에 대해 상대밀도 차이에 따른 함몰 전개거동을 확인하고 함몰 위험도 분석을 수행하였다. 도출된 결론들은 다음과 같다.
(1) 입자간 점착력이 작용하지 않는 포화 지반에서는 트러프(trough) 형태의 침하가 발생하며, 입자간 점착력이 작용하는 불포화 지반에서는 지반 내에 동공이 형성되고 지하수 상승에 의해 동공이 확장되고 최종적으로는 붕괴하는 함몰 거동이 나타났다.
(2) 포화 또는 건조 지반인 <연속침하-a> 유형의 경우, 느슨한 지반이 조밀한 지반보다 더 많은 입자 손실이 발생하였고 약 2.31배 넓은 침하의 영향범위를 보였다. 또한 느슨한 지반에서는 입자유실에 따라 즉각적인 표면침하가 발생하지만 조밀한 지반에서는 입자유실에 의한 충분한 지반이완이 발생한 이후에 표면 침하가 나타난다.
(3) 불포화상태 지반인 <연속침하-b> 유형의 경우, 조밀한 지반에서 입자 유실에 따라 지반 내에 동공을 형성하고 지하수위 상승에 따라 동공이 확장되어 지표면 붕괴가 발생하였다. 반면 느슨한 지반에서는 입자간 접촉이 동공 상부에서 조밀한 지반에 비해 작게 발생하여 상부 지반을 지지할 수 있는 강도가 충분히 발현되지 못하기 때문에 상대적으로 낮은 지하수위에서 입자 유실과 함께 지표면에서 즉각적인 침하에 의한 함몰이 발생하게 된다.
(4) 불포화상태에서의 점착력의 유무는 함몰 거동에 큰 차이를 유발하며 추가 연구들을 통하여 전응력 관점의 지반-수리 연동해석을 수행할 경우 지반 내 물의 흐름과 관련한 함몰 영향인자들을 보다 폭 넓게 도출할 수 있을 것으로 판단된다.




















